Top Banc Kofler Lecture Background

Beauftragte der bundesregierung für menschenrechtspolitik und humanitäre hilfe im auswärtigen amt.

Top Banc Kofler Lecture Background. • curseur avec échelle de lecture directe des températures. Le banc kofler ou table chauffante de kofler, est un appareil de mesure permettant d'estimer la température de fusion d'une matière, développé par adelheid et ludwig kofler.

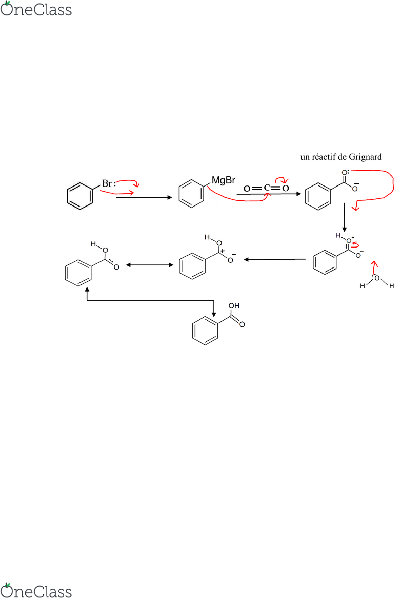
Chm 1721 Lecture Notes Winter 2016 Lecture 5 Encore Une Fois Dune Principes
Chm 1721 Lecture Notes Winter 2016 Lecture 5 Encore Une Fois Dune Principes from new-fullview-html.oneclass.com
La table chauffante de kofler, appelée en pratique banc kofler est un appareil de mesure permettant d'estimer la température de fusion d'une matière développé par adelheid et ludwig kofler. Vous pouvez lire le monde sur un seul appareil à la fois. Für traunstein und das berchtesgadener land im deutschen bundestag.

Désolé, mais je n'en sais pas davantage.

© 2011 kofler et al. La trace ne part pas du tout avec l'acétone, ni l'eau, comme préconisé sur la notice. Diverses techniques permettent de mesurer cette mettre sous tension le banc 30 minutes avant utilisation afin que la température se stabilise. • bloc métallique inox chauffé de manière dissymétrique.